1.
标题
· 基于卫星遥感数据南海南部海洋表面流场反演
· Inversion of Sea Surface Flow Field in Southern South China Sea Based on Satellite Remote Sensing Data
2. 成果信息
· 郑贵洲, 潘子轩, 孟亦菲, 王红平, 2021。基于卫星遥感数据南海南部海洋表面流场反演。地球科学, 46(1): 341-349。DOI: 10.3799/dqkx.2020.250
· 基金项目:海洋地质保障工程(729)子课题(No.GZH201200508);天然气水合物资源勘查与试采工程(127 工程)(No.GZH201100307)
3. 团队成员
· 郑贵洲 (第一作者,通讯作者),博士,bv伟德中国官方网站(武汉)bv伟德,教授。主要从事资源与环境遥感、三维地理信息系统及深度学习与大数据研究。E⁃mail:zhenggz@cug.edu.cn。
4. 成果介绍
一、研究背景:
海表流场可直接影响海表的气候变化,且对于研究海气相互作用、热通量输送等具有重要意义,海流参数获取方式通常有海流计测量、ARGO浮标间接测量等。基于卫星资料结合动力学方法反演海表流场是获取海洋流场信息的重要途径,不同的海域动力学模型及其参数有很大、差别,近赤道和远赤道海域地转流和Ekman 流的计算参数、方法也不同,由此导致的赤道附近海洋流场不连续性问题值得重视,本文以南海南部特定海域开展海洋流场实验研究。
二、研究方法:
研究基于地球物理机制以及数学统计模型构建了一个假定的由地转流和Ekman 流主导的模拟层面,在该层面上对数据进行拟合,解析模型中的各个参数。该算法将海洋表面流场(V)分解为Ekman 流(VE)和地转流(VK)两部分。利用Jason-2 与HY-2 号卫星高程计数据计算出研究海域的地转流,利用ASCAT 与HY-2 号卫星散射计数据计算出风应力驱动的Ekman 流。融合地转流以及Ekman流后,得到最终的海表流场(V),最后通过与OSCAR 海流产品的对比分析,以验证本研究的有效性。
三、研究内容:
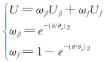
(1)地转流反演:地转流的流速是通过假定海风与海水的摩擦力为零且海流的加速度为零情况下的地转流平衡方程计算获得。由于本文的研究区域包括近赤道海域与远赤道海域,为了保证地转流在研究区域的连续性,我们为近赤道地转流速度(Uβ)和远赤道地转流速度(Uf)分配不同的权重系数,公式如下所示。最后在综合两种模型的基础上得到研究区的地转流速度(U)。
(2)Ekman 流反演:海洋表面的风应力是Ekman 流生成的主要驱动力,风应力矢量的块体计算公式为:
研究表明海洋表面风应力数值与海表下15 m 处的Ekman 流流速有一定关联,本文构建了包含两个参数的无奇点回归模型:
在赤道两侧,海水流力方向分别偏向与风向相反方向,为了克服赤道处Ekam流的不连续与偏移问题,本文对近赤道的太平洋海域的B 与θ 的值进行重新拟合,在不同的纬度区域动态调整两种参数。研究区域位于25°S~25°N 之间,可以用如下公式获取参数:
图1、2分别为地转流u、v 速度分量, 图3、4分别为Ekman 流u、v 速度分量,其中u为经向流速,以北向为正,南向为负;v为纬向流速,以北向为正,南向为负。

图1 地转流经向速度分量 图2 地转流纬向速度分量

图3 Ekman 流经向速度分量 图4 Ekman 流纬向速度分量
(3)海表流场合成:海表流场反演的核心理论是海流可以分为Ekman 流和地转流两部分,所需要考虑的外力为地转效应力、风应力以及科氏力。根据该原理可以将计算得到的地转流和Ekman 流合成,最终获取研究海域9 月下旬海表流,如图5所示。 图中白色箭头表示洋流流速和流向,箭头方向指示洋流流向,箭头长短指示洋流流速大小。
图5 研究区海面流场图
(4)结果分析:本文对反演结果与OSCAR 海流产品进行了对比分析。将经验模型算法获取的海流u 分量和v 分量与OSCAR 海流u 分量和v 分量做相对误差处理,获得相对误差图,如图6、7所示,从图中可以看出u 分量相对误差最高达到了0。6 m/s,在接近北纬10°的位置,误差达到最大。而v 分量的相对误差明显比u分量的相对误差要小,最大只达到了0。4 m/s,且在距离赤道越近的位置,误差越大。

图6经向速度分量相对误差分布 图7纬向速度分量相对误差分布
四、结论:
实验表明,通过卫星遥感资料可以有效地反演海表流场,同时可以大大节省海流观测的人力、物力以及时间,对于研究开阔海域的海流规律特征,具有重要的意义。但由于时间以及数据源的原因,本文考虑的数据源的时间尺度还不够完整,可以收集更细粒度的数据反演出不同时相的海表流场,对研究海域开展不同季节的海流反演,分析海流变化规律。 为了提高反演的精度,在经验模型算法的基础上,可以加入海面温度场的影响,在赤道内外不同的研究海域,采用不同的拟合方法来计算海流速度。